共通考试英语科目分为阅读和听力两场,分别考试。由于没有英语听力音频,所以今天只和大家分享英语阅读考试内容。

题目






























答案

分析
大题数、解答数
8道大题、44道小题,与去年相比没有变化。
出题形式
和去年一样,所有大题都是读解形式,题材从日常文章到说明文等多种多样。考题中还出现了几道去年没有出现过的新形式的问题,要求考生具备多方面处理信息的能力。
问题量
文章中的单词数量比去年减少了约100个,从4200个减少至4100个左右。
难易度
比去年容易一点。
大题评分
第1大题:信息解读(6分)
关于“舞蹈比赛的服装”舞蹈部员互相交换的文字信息的阅读问题,被要求基本的阅读能力。这个问题很直接,很容易回答。
第2大题:信息整理(12分)
关于“大学宿舍满意度调查结果”,读了汇总了大学和用户意见的网站,出了整理意见的问题。考题要求掌握概要和要点,整理多个信息。
第3大题:短文理解(9分)
内容是关于“冥想时飞来的虫子”的短篇故事,考题包括事情的顺序和对登场人物心情的理解。
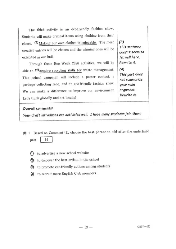
第4大题:逻辑考察(12分)
以“倡导环保活动”为主题,根据教师对自己所写原稿的评论,留意文章逻辑的构成和展开,推敲并适当订正。选择合适的地方插入给定的句子,出现了新形式的问题。
第5大题:信息检索(16分)
阅读关于“图书馆的绘本展销会”的传单、在线表格、图书馆的回信邮件,总结所示信息的问题。另外,还出现了根据邮件内容推理回答的问题。
第6大题:整理概要和关键信息(12分)
阅读“饭团店老板鼓励剑道部中学生的故事”,完成相关概要资料的问题。考题是将事件按时间顺序排列,有必要理解从现在开始回顾事件。
第7大题:整理概要和论点(16分)
阅读有关“心灵彷徨及其效用”的文件,制作课堂讨论用的幻灯片。从含有难懂的科学用语的文章中,忠实地按照其记述来解答的问题有好几个。从4名学生中选出能得到效用的2名学生的新形式的问题。
第8大题:归纳总结(17分)
这是在阅读了5个人关于“支持体育竞技的设备进步的对错”的意见之后,在给定的立场上完成随笔的问题。按照3个步骤,“阅读多人的意见,理解各自的论点”→“整理符合所提出立场的意见,该意见的共通论点是什么”→“从多份资料中找出符合该立场的理由和根源”判断根据”这一随笔的概要构成形式,考验学生根据多个信息进行整理和判断的能力。
附:什么是共通考试?如何选择考试科目?
大学入学共通考试(以下简称共通考试)是独立行政法人“大学入学考试中心”与日本各大学合作,让全国想利用共通考试的学生在同一时间一起参加的大学入试方法之一。共通考试在每年的1月中下旬的周末举行,共两天时间。
和中国高考不同,虽然共通考试是日本规模最大的大学入学考试,但是共通考试由学生们自愿参加。需要同学们在考试前一年的9月下旬~10月上旬进行报名,而且可以自行选择考试的教科·科目。
想要报考国公立大学的学生,原则上都要参加共通考试。另外,现在利用共通考试成绩招生的私立大学也越来越多。对于在日本读高中的学生来说,是非常重要的考试。
日本共通考试共有7大教科,7大教科下又分为21科目。每个大学、甚至每个学部对考生参加共通考试需报考的教科·科目要求都不同,所以考生要根据自己报考的大学、学部来选择共通考试的教科·科目。同学们不用担心,主流专业所要求的考试教科·科目相差不大,一般国公立大学要求报考5门教科·科目以上,私立大学要求报考3门教科·科目以上。










